File:Mem njit event3 fwhm arc2.jpg

From HelioWiki Home Page
Revision as of 14:33, 1 November 2024 by Maintenance script (talk | contribs) (Maintenance script uploaded File:Mem njit event3 fwhm arc2.jpg)
(diff) ← Older revision | Latest revision (diff) | Newer revision → (diff)
Jump to navigation Jump to search

Original file(1,059 × 1,052 pixels, file size: 297 KB, MIME type: image/jpeg)

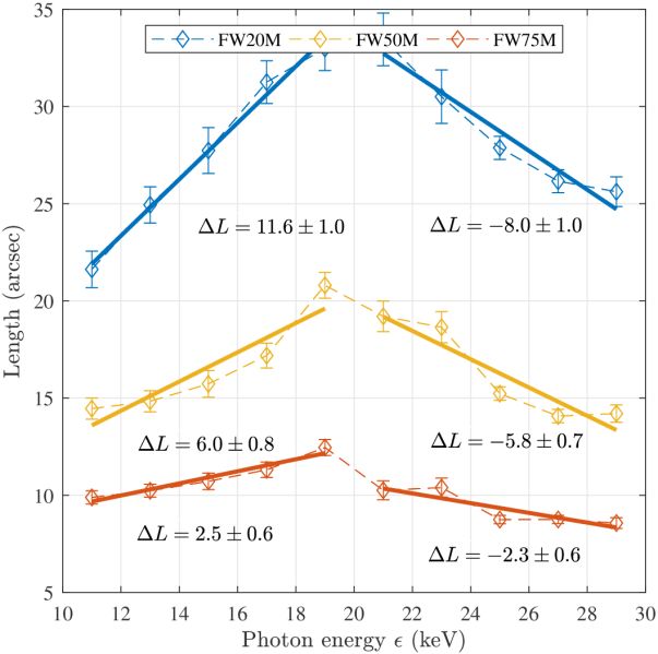
Coronal source length measured along the loop spine plotted vs. photon energy. The lengths were determined as the distances between the positions at which the intensity along the arc dropped to 75% (blue), 50% (orange), and 20% (red) of the peak value in each energy bin. The Solid lines indicate the best fit to the data points from 10 to 20 keV and from 20 to 30 keV. The changes in length (Delta L) over these two energy ranges are shown on the plot.

File history

Click on a date/time to view the file as it appeared at that time.

Date/TimeThumbnailDimensionsUserComment
current14:33, 1 November 2024Thumbnail for version as of 14:33, 1 November 20241,059 × 1,052 (297 KB)Maintenance script (talk | contribs)== Summary == Importing file

The following page uses this file: