File:144F2.png

From HelioWiki Home Page
Revision as of 14:35, 1 November 2024 by Maintenance script (talk | contribs) (Maintenance script uploaded File:144F2.png)
(diff) ← Older revision | Latest revision (diff) | Newer revision → (diff)
Jump to navigation Jump to search

Original file(1,154 × 1,184 pixels, file size: 21 KB, MIME type: image/png)

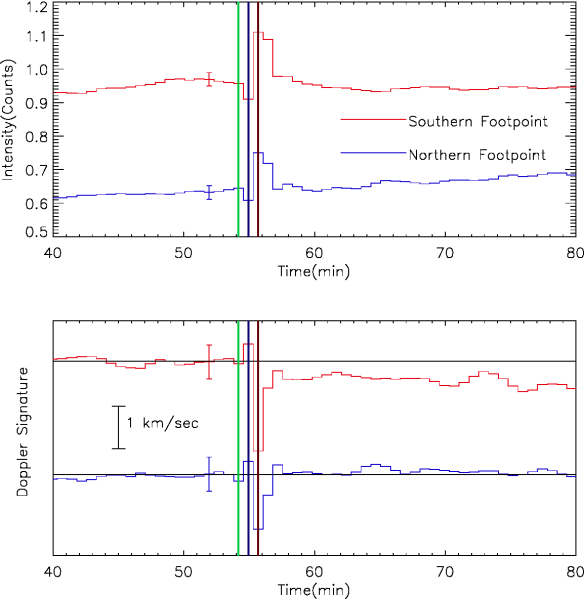
HMI time-series observations of the flare, using standard data interpolated for helioseismology. The middle of the three vertical lines shows the "precursor" time frame, with a clear negative excursion in either footpoint region.

File history

Click on a date/time to view the file as it appeared at that time.

Date/TimeThumbnailDimensionsUserComment
current14:35, 1 November 2024Thumbnail for version as of 14:35, 1 November 20241,154 × 1,184 (21 KB)Maintenance script (talk | contribs)== Summary == Importing file

The following page uses this file:

Metadata