Solar energetic electron events over one solar cycle

From HelioWiki Home Page
Jump to navigation Jump to search


Nugget
Number: 175
1st Author: Linghua Wang
2nd Author:
Published: 7 May 2012
Next Nugget: Time Profiles of Solar Flare Densities
Previous Nugget: A Shocking Type II



Introduction

Particles accelerated at the Sun can propagate into the heliosphere, typically in a burst. This phenomenon is referred to as a Solar Energetic Particle (SEP) event. The Sun occasionally emits particles of many kinds (electrons, ions, neutral atoms, neutrons), and so these SEP events have become a tool for remotely sensing the physics of flares and CMEs. Neutral-atom and neutron events are rare and hard to characterize, and because of their lower velocities, ions are not so direct a probe.

On the other hand the electrons accelerated at or close to the Sun are often well-observed in situ as prompt velocity-dispersed increases in the spectrum well above plasma energies. This behavior is as expected if the electrons of all energies were simultaneously accelerated at the Sun and then traveled the same distance, and then guided along the interplanetary magnetic field to reach the spacecraft and be detected. The electrons are lightweight, fast, and cling tightly to the field because of small Larmor radii, and thus make ideal probes of the particles and fields in the intervening volume of the outer corona and solar wind.

Statistics of electron events

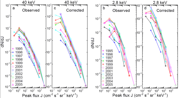
We survey the statistical properties of 1191 solar electron events observed by the WIND 3DP instrument from 1995 through 2005 [ref. 1]. We find that, similar to sunspots and soft X-ray flares, the observed occurrence rate of solar electron events near the Earth shows a strong solar-cycle variation: ~10 events/year at solar minimum and ~190 events/year at solar maximum. After correcting for periods of high background, the inferred occurrence frequency of solar electron events exhibits a power-law distribution (see Figure 1): dN/dJ =A J, with the index γ of ~1.08 to 1.63 (~1.02 to 1.38) at 40 keV (2.8 keV) for different years, similar to the frequency distributions of solar proton events with γ of ~1.1 to 1.5 [ref. 2]. These electron frequency distributions are significantly flatter than the frequency distributions of flares and microflares, for which γ is ~1.8. CME kinetic energies have a similarly steep distribution. At 40 keV and 2.8 keV, the integrated occurrence rate near the Earth is up to one order of magnitude larger than the observed occurrence rate (see Figure 2). This implies that the observed event number near 1 AU is likely strongly underestimated since many small electron events are missed due to high background or limited instrument sensitivity.

The event occurrence differential frequency distribution at 40 (left) and 2.8 (right) keV from 1995 to 2005. N represents the yearly event number and J represents the background-subtracted peak flux. Panels a and b show observations and panels c and d show the distributions after correction for events lost due to high background fluxes. Colored symbols show the data at different years.
The derived power-law index γ (top panels) and normalizing coefficient A (middle) for the occurrence frequency distribution and the yearly event number (bottom) at 40 keV (left panels) and 2.8 (right) keV, from 1995 to 2005. In the bottom panels, the circles indicate the observed occurrence rate, and the crosses indicate the integrated occurrence rate after correction for times of high background.

The observed solar electron events have a close (~76%) association with the presence of low-energy (~0.02-2 MeV/nucleon), 3He-rich (3He/4He > 0.01) ion emissions measured by the ULEIS instrument on board the ACE spacecraft. Since 3He-rich electron events (the majority of solar electron events) typically fill a solar longitude extent of greater than about 45 (see Figure 3) , we infer that ~104 events/year may occur over the whole Sun at solar maximum. Out of the 1191 solar electron events, 1176 were associated with type III solar radio bursts; the inferred burst rate ~104/year near solar maximum is the same order of magnitude as the occurrence rate of type III radio bursts detected below 14 MHz by WIND WAVES near solar maximum. Studies of individual impulsive electron events [ref. 3] show that the Langmuir waves that scatter to produce the type III radio emission were observed in situ simultaneously with the arrival of ~2-10 keV solar electrons at 1 AU. These may suggest that all type III bursts are produced by a beams of electrons in the corona, and that they evolve subsequently to become the solar electron events. Thus the statistics indicate a one-to-one correlation between solar electron beams and interplanetary type III radio emissions.

The histogram of the intensity (top) and solar longitude (bottom) of the associated SXR flares for 3He-rich electron events. The positive (negative) longitude means west (east). The red color indicates the gradual SXR flares associated with 3He-rich electron events.

Conclusion

For 3He-rich electron events, only ~35% have a reported GOES SXR flare, with about 90% being impulsive flares, and most being C-class flares and located at longitude W30-75 (see Figure 3). 3He-rich electron events have a ~99% association with type III radio bursts and a ~60% association with west-limb CMEs, with ~50% of the associated CMEs being narrow (< 50). Previous studies have shown that type III radio bursts are closely associated with coronal jets (when present) observed in soft X-rays and in the EUV, and such jets might appear as faint and narrow CMEs high in the corona. These associations strongly suggest that in electron/3He-rich SEP events, these electrons are accelerated in narrow CMEs/jets originating from interchange reconnection; these electrons then generate waves that selectively accelerate 3He and heavy ions.

Bibliography

[1] A Statistical Study of Solar Electron Events over One Solar Cycle, submitted to ApJ, 2012.

[2] Size distributions of solar energetic particle events

[3] Wind Spacecraft Observations of Solar Impulsive Electron Events Associated with Solar Type III Radio Bursts